|
|

【郑州春秋化工有限公司】公司坐落在交通经济发达的郑州市高新技术开发区,本公司是一家以健康,绿色,环保产业为主导的公司,公司本着合作共赢、互惠互利的经营理念,让客户获得优质产品的同时成本最低化...更多
郑州春秋化工有限公司
经理:13526669916 李经理
电话:0371-66687686
邮编:450000
邮箱:9866839@qq.com
网址:www.cmxx.com
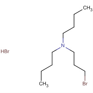
| 中文名称: | 3-溴丙基二丁基胺氢溴酸 |
| 中文别名: | |
| 英文名称: | 3-Bromopropyldibutylamine hydrobromide |
| 英文别名: | |
| CAS号: | 88805-95-2 |
| 分子式: | C11H24BrN.BrH |
| 分子量: | |
| EINECS 登录号: | |
| 结构式: | ![]() |