|
|

【郑州春秋化工有限公司】公司坐落在交通经济发达的郑州市高新技术开发区,本公司是一家以健康,绿色,环保产业为主导的公司,公司本着合作共赢、互惠互利的经营理念,让客户获得优质产品的同时成本最低化...更多
郑州春秋化工有限公司
经理:13526669916 李经理
电话:0371-66687686
邮编:450000
邮箱:9866839@qq.com
网址:www.cmxx.com
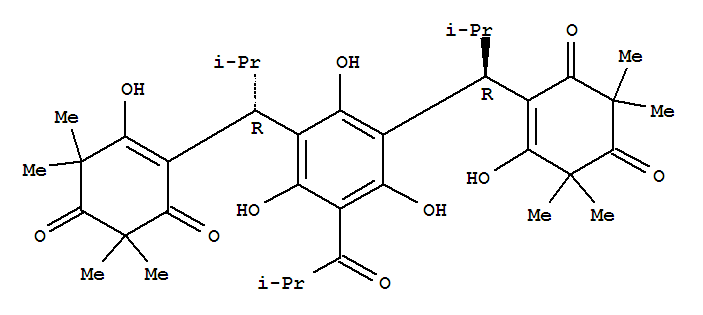
| 中文名称: | 4,4-[[2,4,6-三羟基-5-(2-甲基-1-氧代丙基)-1,3-亚苯基]双(2-甲基丙烷-1,1-二yl)]双[5-羟基-2,2,6,6-四甲基-4-环己烯-1,3-二酮] |
| 中文别名: | |
| 英文名称: | 4,4’-[[2,4,6-Trihydroxy-5-(2-methyl-1-oxopropyl)-1,3-phenylene]bis(2-methylpropane-1,1-diyl)]bis[5-hydroxy-2,2,6,6-tetramethyl-4-cyclohexene-1,3-dione] |
| 英文别名: | |
| CAS号: | 54247-21-1 |
| 分子式: | C38H52O10 |
| 分子量: | |
| EINECS 登录号: | |
| 结构式: | ![]() |