|
|

【郑州春秋化工有限公司】公司坐落在交通经济发达的郑州市高新技术开发区,本公司是一家以健康,绿色,环保产业为主导的公司,公司本着合作共赢、互惠互利的经营理念,让客户获得优质产品的同时成本最低化...更多
郑州春秋化工有限公司
经理:13526669916 李经理
电话:0371-66687686
邮编:450000
邮箱:9866839@qq.com
网址:www.cmxx.com
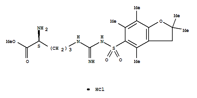
| 中文名称: | 甲基N5-{N-[(2,2,4,6,7-五甲基-2,3-二氢-1-苯并呋喃-5-基)磺酰基]甲脒基}-L-鸟氨酰i噻吩基n酸酯盐酸盐(1:1) |
| 中文别名: | |
| 英文名称: | Methyl n5-{n-[(2,2,4,6,7-pentamethyl-2,3-dihydro-1-benzofuran-5-yl)sulfonyl]carbamimidoyl}-l-ornithinate hydrochloride (1:1) |
| 英文别名: | |
| CAS号: | 257288-19-0 |
| 分子式: | C20H33ClN4O5S |
| 分子量: | 477.02 |
| EINECS 登录号: | |
| 结构式: | ![]() |