|
|

【郑州春秋化工有限公司】公司坐落在交通经济发达的郑州市高新技术开发区,本公司是一家以健康,绿色,环保产业为主导的公司,公司本着合作共赢、互惠互利的经营理念,让客户获得优质产品的同时成本最低化...更多
郑州春秋化工有限公司
经理:13526669916 李经理
电话:0371-66687686
邮编:450000
邮箱:9866839@qq.com
网址:www.cmxx.com
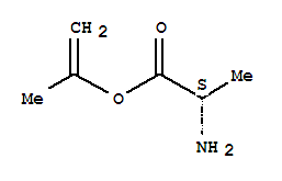
| 中文名称: | (9ci)-1-甲基-L-丙氨酸乙烯酯 |
| 中文别名: | |
| 英文名称: | L-alanine, 1-methylethenyl ester (9ci) |
| 英文别名: | |
| CAS号: | 263013-32-7 |
| 分子式: | C6H11NO2 |
| 分子量: | 129.15704 |
| EINECS 登录号: | |
| 结构式: | ![]() |