|
|

【郑州春秋化工有限公司】公司坐落在交通经济发达的郑州市高新技术开发区,本公司是一家以健康,绿色,环保产业为主导的公司,公司本着合作共赢、互惠互利的经营理念,让客户获得优质产品的同时成本最低化...更多
郑州春秋化工有限公司
经理:13526669916 李经理
电话:0371-66687686
邮编:450000
邮箱:9866839@qq.com
网址:www.cmxx.com
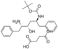
| 中文名称: | (2S,3S,5S)-5-叔丁氧基甲酰氨基-2-氨基-3-羟基-1,6-二苯基己烷琥珀酸盐 |
| 中文别名: | (2S,3S,5S)-1,6-二苯基-2-氨基-3-羟基-5-N-BOC-己烷,1/2琥珀酸盐(BDH琥珀酸盐); (2S,3S,5S)-5-叔丁氧基甲酰氨基-2-氨基-3-羟基-1,6-二苯基己烷琥珀酸盐(BDH); BDH琥珀酸盐; BDH-HS; (2S,3S,5S)-2-氨基-3-羟基-5-叔丁氧基甲酰氨基-1,6-二苯基己烷琥珀酸盐; (2S,3S,5S)-2-氨基-3-羟基-5-(叔丁氧羰基)氨基-1,6-二苯基半琥珀酸盐 |
| 英文名称: | (2S,3S,5S)-5-tert-Butyloxycarbonylamino-2-amino-3-hydroxy-1,6-diphenylhexane succinate |
| 英文别名: | BDH succinate salt |
| CAS号: | 183388-64-9 |
| 分子式: | 2C23H32N2O3.C4H6O4 |
| 分子量: | 887.12 |
| EINECS 登录号: | |
| 结构式: | ![]() |
| 物理化学性质 | ||||||
|