|
|

【郑州春秋化工有限公司】公司坐落在交通经济发达的郑州市高新技术开发区,本公司是一家以健康,绿色,环保产业为主导的公司,公司本着合作共赢、互惠互利的经营理念,让客户获得优质产品的同时成本最低化...更多
郑州春秋化工有限公司
经理:13526669916 李经理
电话:0371-66687686
邮编:450000
邮箱:9866839@qq.com
网址:www.cmxx.com
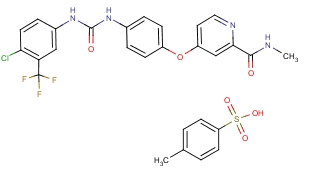
| 中文名称: | 甲苯磺酸索拉替尼 |
| 中文别名: | 4-{4-[3-(4-氯-3-三氟甲基苯基)酰脲]苯氧基}吡啶-2-甲酰胺对甲苯磺酸盐; 对甲苯磺酸索拉非尼; 对甲苯酸索尼替尼; 索拉非尼对甲苯磺酸盐; 甲苯磺酸索拉菲尼; 甲磺酸索拉菲尼 |
| 英文名称: | Sorafenib Tosylate |
| 英文别名: | |
| CAS号: | 4750207-59-1 |
| 分子式: | C4H7NO4 |
| 分子量: | 133.10 |
| EINECS 登录号: | |
| 结构式: | ![]() |