|
|

【郑州春秋化工有限公司】公司坐落在交通经济发达的郑州市高新技术开发区,本公司是一家以健康,绿色,环保产业为主导的公司,公司本着合作共赢、互惠互利的经营理念,让客户获得优质产品的同时成本最低化...更多
郑州春秋化工有限公司
经理:13526669916 李经理
电话:0371-66687686
邮编:450000
邮箱:9866839@qq.com
网址:www.cmxx.com
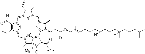
| 中文名称: | 叶绿素 B |
| 中文别名: | |
| 英文名称: | Chlorophyll B |
| 英文别名: | (SP-4-2)-((2E,7R,11R)-3,7,11,15-Tetramethyl-2-hexadecenyl (3S,4S,21R)-9-ethenyl-14-ethyl-13-formyl-21-(methoxycarbonyl)-4,8,18-trimethyl-20-oxo-3-phorbinepropanoato(2-)-N23,N24,N25,N26]-magnesium |
| CAS号: | 519-62-0 |
| 分子式: | C55H70MgN4O6 |
| 分子量: | 907.47 |
| EINECS 登录号: | 208-272-4 |
| 结构式: | ![]() |
| 物理化学性质 | ||
|
| 安全数据 | ||
|