|
|

【郑州春秋化工有限公司】公司坐落在交通经济发达的郑州市高新技术开发区,本公司是一家以健康,绿色,环保产业为主导的公司,公司本着合作共赢、互惠互利的经营理念,让客户获得优质产品的同时成本最低化...更多
郑州春秋化工有限公司
经理:13526669916 李经理
电话:0371-66687686
邮编:450000
邮箱:9866839@qq.com
网址:www.cmxx.com
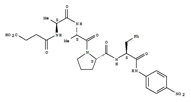
| 中文名称: | 组织蛋白酶G基质I |
| 中文别名: | |
| 英文名称: | Cathepsin g substrate i |
| 英文别名: | |
| CAS号: | 70967-97-4 |
| 分子式: | C30H36N6O9 |
| 分子量: | 624.64 |
| EINECS 登录号: | |
| 结构式: | ![]() |
| 物理化学性质 | ||||||||
|