|
|

【郑州春秋化工有限公司】公司坐落在交通经济发达的郑州市高新技术开发区,本公司是一家以健康,绿色,环保产业为主导的公司,公司本着合作共赢、互惠互利的经营理念,让客户获得优质产品的同时成本最低化...更多
郑州春秋化工有限公司
经理:13526669916 李经理
电话:0371-66687686
邮编:450000
邮箱:9866839@qq.com
网址:www.cmxx.com
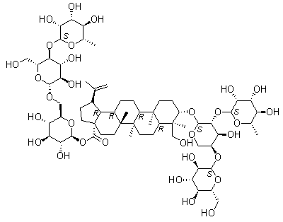
| 中文名称: | 3-O-b-D-葡萄糖( 1→4)-[ a -L-鼠李糖(1→2)]- a-L-阿拉伯糖 23-羟基羽扇豆20(29)-烯-28–酸- 28-O-鼠李糖(1→4)葡萄糖(1→6)葡萄糖苷 |
| 中文别名: | |
| 英文名称: | 3-O-d-glucopyranosyl( 1→3)-l-rhamnopyranosyl(1→2)-l-arabinopyranosyl lupinic acid╟ 28-o-rhamnopyranosyl(1→4)glucopyranosyl(1→6)glucopyranoside |
| 英文别名: | |
| CAS号: | 366814-43-9 |
| 分子式: | C65H106O31 |
| 分子量: | 1383.54 |
| EINECS 登录号: | |
| 结构式: | ![]() |