|
|

【郑州春秋化工有限公司】公司坐落在交通经济发达的郑州市高新技术开发区,本公司是一家以健康,绿色,环保产业为主导的公司,公司本着合作共赢、互惠互利的经营理念,让客户获得优质产品的同时成本最低化...更多
郑州春秋化工有限公司
经理:13526669916 李经理
电话:0371-66687686
邮编:450000
邮箱:9866839@qq.com
网址:www.cmxx.com
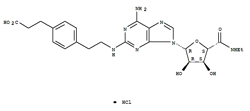
| 中文名称: | 3-{4-[2-({6-氨基-9-[(2R,3R,4S,5S)-5-(乙基氨基甲酰)-3,4-二羟基四氢-2-呋喃基]-9H-嘌呤-2-基}氨基)乙基]苯基}丙酸盐酸盐(1:1) |
| 中文别名: | |
| 英文名称: | 3-{4-[2-({6-Amino-9-[(2r,3r,4s,5s)-5-(ethylcarbamoyl)-3,4-dihydroxytetrahydro-2-furanyl]-9h-purin-2-yl}amino)ethyl]phenyl}propanoic acid hydrochloride (1:1) |
| 英文别名: | |
| CAS号: | 124431-80-7 |
| 分子式: | C23H30ClN7O6 |
| 分子量: | 535.98 |
| EINECS 登录号: | |
| 结构式: | ![]() |