|
|

【郑州春秋化工有限公司】公司坐落在交通经济发达的郑州市高新技术开发区,本公司是一家以健康,绿色,环保产业为主导的公司,公司本着合作共赢、互惠互利的经营理念,让客户获得优质产品的同时成本最低化...更多
郑州春秋化工有限公司
经理:13526669916 李经理
电话:0371-66687686
邮编:450000
邮箱:9866839@qq.com
网址:www.cmxx.com
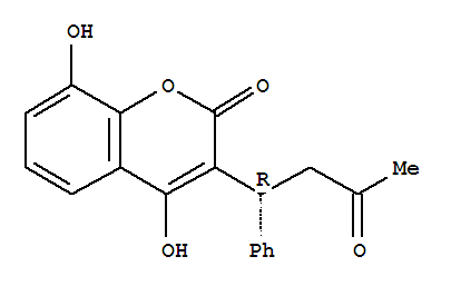
| 中文名称: | 4,8-二羟基-3-[(1R)-3-氧代-1-苯基丁基]-2H-1-苯并吡喃-2-酮 |
| 中文别名: | |
| 英文名称: | 4,8-Dihydroxy-3-[(1r)-3-oxo-1-phenylbutyl]-2h-1-benzopyran-2-one |
| 英文别名: | 2H-1-Benzopyran-2-one,4,8-dihydroxy-3-(3-oxo-1-phenylbutyl)-, (R)-; (R)-8-Hydroxywarfarin;8-Hydroxy-R-warfarin |
| CAS号: | 63740-77-2 |
| 分子式: | C19H16O5 |
| 分子量: | 324.33 |
| EINECS 登录号: | |
| 结构式: | ![]() |