|
|

【郑州春秋化工有限公司】公司坐落在交通经济发达的郑州市高新技术开发区,本公司是一家以健康,绿色,环保产业为主导的公司,公司本着合作共赢、互惠互利的经营理念,让客户获得优质产品的同时成本最低化...更多
郑州春秋化工有限公司
经理:13526669916 李经理
电话:0371-66687686
邮编:450000
邮箱:9866839@qq.com
网址:www.cmxx.com
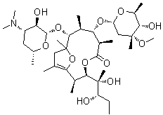
| 中文名称: | 伪红霉素A烯醇醚 |
| 中文别名: | |
| 英文名称: | Pseudo erythromycin a enol ether |
| 英文别名: | 4,13-Dioxabicyclo[8.2.1]tridec-12-en-5-one,7-[(2,6-dideoxy-3-C-methyl-3-O-methyl-a-L-ribo-hexopyranosyl)oxy]-3-(1,2-dihydroxy-1-methylbutyl)-2,6,8,10,12-pentamethyl-9-[[3,4,6-trideoxy-3-(dimethylamino)-b-D-xylo-hexopyranosyl]oxy]-,[2R-[2R*,3R*(1R*,2R*),6R*,7S*,8S*,9R*,10R*]]-; 8,9-Anhydropseudo-erythromycinA-6,9-hemiketal; EM 701; LY 267108; Pseudoerythromycin A enol ether |
| CAS号: | 105882-69-7 |
| 分子式: | C37H65NO12 |
| 分子量: | 715.9301 |
| EINECS 登录号: | |
| 结构式: | ![]() |