|
|

【郑州春秋化工有限公司】公司坐落在交通经济发达的郑州市高新技术开发区,本公司是一家以健康,绿色,环保产业为主导的公司,公司本着合作共赢、互惠互利的经营理念,让客户获得优质产品的同时成本最低化...更多
郑州春秋化工有限公司
经理:13526669916 李经理
电话:0371-66687686
邮编:450000
邮箱:9866839@qq.com
网址:www.cmxx.com
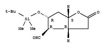
| 中文名称: | 5-{[二甲基(2-甲基-2-丙基)硅烷基]氧基}-2-氧代六氢-2H-环戊二烯并[b]呋喃-4-甲醛 |
| 中文别名: | |
| 英文名称: | 5-{[Dimethyl(2-methyl-2-propanyl)silyl]oxy}-2-oxohexahydro-2h-cyclopenta[b]furan-4-carbaldehyde |
| 英文别名: | TBS-COREY LACTONE ALDEHYDE;[3AR-(3A-ALPHA,4BETA,5ALPHA,6A-ALPHA)]-5-(TERT-BUTYL-DIMETHYLSILYL) HEXAHYDRO-2-OXO-2H-CYCLOPENTA[B]FURAN-4-CARBOXALDEHYDE |
| CAS号: | 64091-14-1 |
| 分子式: | C14H24O4Si |
| 分子量: | 284.42 |
| EINECS 登录号: | |
| 结构式: | ![]() |