|
|

【郑州春秋化工有限公司】公司坐落在交通经济发达的郑州市高新技术开发区,本公司是一家以健康,绿色,环保产业为主导的公司,公司本着合作共赢、互惠互利的经营理念,让客户获得优质产品的同时成本最低化...更多
郑州春秋化工有限公司
经理:13526669916 李经理
电话:0371-66687686
邮编:450000
邮箱:9866839@qq.com
网址:www.cmxx.com
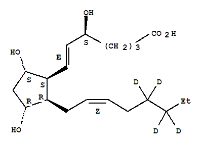
| 中文名称: | (5S,6E,8beta,9alpha,11alpha,14Z)-5,9,11-三羟基(17,17,18,18-2H4)前列腺-6,14-二烯-1-酸 |
| 中文别名: | |
| 英文名称: | (5S,6e,8beta,9alpha,11alpha,14z)-5,9,11-trihydroxy(17,17,18,18-2h4)prosta-6,14-dien-1-oic acid |
| 英文别名: | IPF2ALPHA-VI-D4;5S,9ALPHA, 11ALPHA-TRIHYDROXY-(8BETA)-PROSTA-6E,14Z-DIEN-1-OIC-17,17,18,18-D4 ACID |
| CAS号: | 214977-79-4 |
| 分子式: | C20H30D4O5 |
| 分子量: | 358.51 |
| EINECS 登录号: | |
| 结构式: | ![]() |