|
|

【郑州春秋化工有限公司】公司坐落在交通经济发达的郑州市高新技术开发区,本公司是一家以健康,绿色,环保产业为主导的公司,公司本着合作共赢、互惠互利的经营理念,让客户获得优质产品的同时成本最低化...更多
郑州春秋化工有限公司
经理:13526669916 李经理
电话:0371-66687686
邮编:450000
邮箱:9866839@qq.com
网址:www.cmxx.com
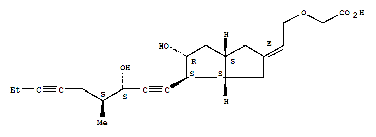
| 中文名称: | 西卡前列素 |
| 中文别名: | |
| 英文名称: | Cicaprost |
| 英文别名: | Aceticacid, [(2E)-2-[(3aS,4S,5R,6aS)-hexahydro-5-hydroxy-4-[(3S,4S)-3-hydroxy-4-methyl-1,6-nonadiynyl]-2(1H)-pentalenylidene]ethoxy]-(9CI); Acetic acid,[2-[hexahydro-5-hydroxy-4-(3-hydroxy-4-methyl-1,6-nonadiynyl)-2(1H)-pentalenylidene]ethoxy]-,[3aS-[2E,3aa,4a(3R*,4R*),5b,6aa]]-; Cicaprost; ZK 96480 |
| CAS号: | 94079-80-8 |
| 分子式: | C22H30O5 |
| 分子量: | 374.48 |
| EINECS 登录号: | |
| 结构式: | ![]() |
| 物理化学性质 | ||||||
|