|
|

【郑州春秋化工有限公司】公司坐落在交通经济发达的郑州市高新技术开发区,本公司是一家以健康,绿色,环保产业为主导的公司,公司本着合作共赢、互惠互利的经营理念,让客户获得优质产品的同时成本最低化...更多
郑州春秋化工有限公司
经理:13526669916 李经理
电话:0371-66687686
邮编:450000
邮箱:9866839@qq.com
网址:www.cmxx.com
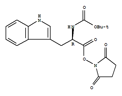
| 中文名称: | 2,5-二氧代-1-吡咯烷基 N-{[(2-甲基-2-丙基)氧基]羰基}色氨酸酯 |
| 中文别名: | |
| 英文名称: | 2,5-Dioxo-1-pyrrolidinyl n-{[(2-methyl-2-propanyl)oxy]carbonyl}tryptophanate |
| 英文别名: | Carbamicacid, [(1R)-2-[(2,5-dioxo-1-pyrrolidinyl)oxy]-1-(1H-indol-3-ylmethyl)-2-oxoethyl]-,1,1-dimethylethyl ester (9CI); Carbamic acid,[2-[(2,5-dioxo-1-pyrrolidinyl)oxy]-1-(1H-indol-3-ylmethyl)-2-oxoethyl]-,1,1-dimethylethyl ester, (R)-; Succinimide, N-[(N-carboxy-D-tryptophyl)oxy]-,tert-butyl ester (8CI) |
| CAS号: | 22220-11-7 |
| 分子式: | C20H23N3O6 |
| 分子量: | 401.41 |
| EINECS 登录号: | |
| 结构式: | ![]() |