|
|

【郑州春秋化工有限公司】公司坐落在交通经济发达的郑州市高新技术开发区,本公司是一家以健康,绿色,环保产业为主导的公司,公司本着合作共赢、互惠互利的经营理念,让客户获得优质产品的同时成本最低化...更多
郑州春秋化工有限公司
经理:13526669916 李经理
电话:0371-66687686
邮编:450000
邮箱:9866839@qq.com
网址:www.cmxx.com
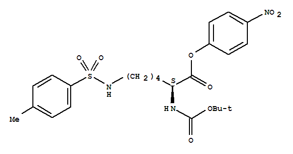
| 中文名称: | Nα-Boc-Nε-4-甲苯磺酰基-L-赖氨酸 4-硝基苯酯 |
| 中文别名: | |
| 英文名称: | Nα-boc-nε-4-toluenesulfonyl-l-lysine 4-nitrophenyl ester |
| 英文别名: | BOC-N-EPSILON-4-TOLUENESULFONYL-L-LYSINE 4-NITROPHENYL ESTER;BOC-LYS(TOS)-ONP;BOC-LYSINE(TOS)-ONP |
| CAS号: | 200943-66-4 |
| 分子式: | C24H31N3O8S |
| 分子量: | 521.58 |
| EINECS 登录号: | |
| 结构式: | ![]() |