|
|

【郑州春秋化工有限公司】公司坐落在交通经济发达的郑州市高新技术开发区,本公司是一家以健康,绿色,环保产业为主导的公司,公司本着合作共赢、互惠互利的经营理念,让客户获得优质产品的同时成本最低化...更多
郑州春秋化工有限公司
经理:13526669916 李经理
电话:0371-66687686
邮编:450000
邮箱:9866839@qq.com
网址:www.cmxx.com
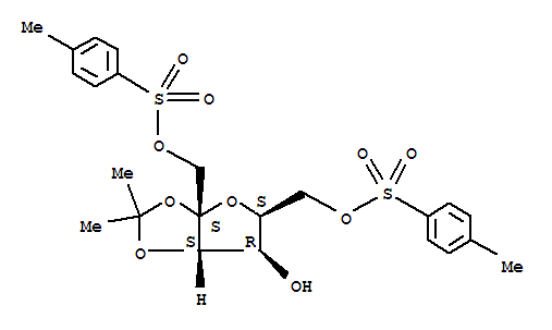
| 中文名称: | 6-羟基-2,2-二甲基-5-({[(4-甲基苯基)磺酰基]氧基}甲基)二氢呋喃并[2,3-d][1,3]二氧杂环戊烯-3A(5H)-基4-甲基苯磺酸酯 |
| 中文别名: | |
| 英文名称: | 6-Hydroxy-2,2-dimethyl-5-({[(4-methylphenyl)sulfonyl]oxy}methyl)dihydrofuro[2,3-d][1,3]dioxol-3a(5h)-yl 4-methylbenzenesulfonate |
| 英文别名: | Sorbofuranose,2,3-O-isopropylidene-, 1,6-di-p-toluenesulfonate, a-L- (7CI,8CI); Furo[2,3-d]-1,3-dioxole, a-L-sorbofuranose deriv. |
| CAS号: | 2484-55-1 |
| 分子式: | C22H26O10S2 |
| 分子量: | 514.57 |
| EINECS 登录号: | |
| 结构式: | ![]() |