|
|

【郑州春秋化工有限公司】公司坐落在交通经济发达的郑州市高新技术开发区,本公司是一家以健康,绿色,环保产业为主导的公司,公司本着合作共赢、互惠互利的经营理念,让客户获得优质产品的同时成本最低化...更多
郑州春秋化工有限公司
经理:13526669916 李经理
电话:0371-66687686
邮编:450000
邮箱:9866839@qq.com
网址:www.cmxx.com
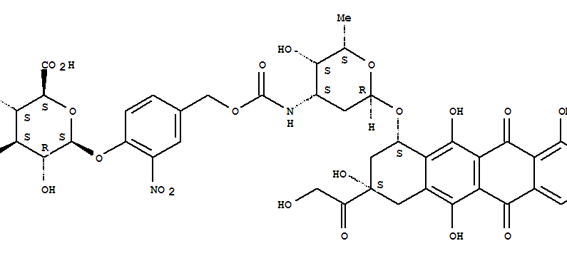
| 中文名称: | HMR1826 |
| 中文别名: | |
| 英文名称: | Hmr 1826 |
| 英文别名: | 5,12-Naphthacenedione,7,8,9,10-tetrahydro-6,8,11-trihydroxy-8-(hydroxyacetyl)-1-methoxy-10-[[2,3,6-trideoxy-3-[[[[4-(b-D-glucopyranuronosyloxy)-3-nitrophenyl]methoxy]carbonyl]amino]-a-L-lyxo-hexopyranosyl]oxy]-,(8S-cis)-; F 826; HMR 1826 |
| CAS号: | 148580-25-0 |
| 分子式: | C41H42N2O22 |
| 分子量: | |
| EINECS 登录号: | |
| 结构式: | ![]() |