|
|

【郑州春秋化工有限公司】公司坐落在交通经济发达的郑州市高新技术开发区,本公司是一家以健康,绿色,环保产业为主导的公司,公司本着合作共赢、互惠互利的经营理念,让客户获得优质产品的同时成本最低化...更多
郑州春秋化工有限公司
经理:13526669916 李经理
电话:0371-66687686
邮编:450000
邮箱:9866839@qq.com
网址:www.cmxx.com
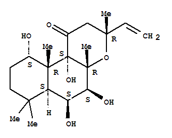
| 中文名称: | 1alpha,6beta,7beta,9alpha-四羟基-8,13-环氧-赖百当-14-烯-11-酮 |
| 中文别名: | |
| 英文名称: | 1Alpha,6beta,7beta,9alpha-tetrahydroxy-8,13-epoxy-labd-14-en-11-one |
| 英文别名: | 1H-Naphtho[2,1-b]pyran-1-one,3-ethenyldodecahydro-5,6,10,10b-tetrahydroxy-3,4a,7,7,10a-pentamethyl-, [3R-(3a,4ab,5b,6b,6aa,10a,10ab,10ba)]-; 7-Deacetylforskolin; 7-Desacetylforskolin;7-deacetylcoleonol; Deacetylforskolin |
| CAS号: | 64657-20-1 |
| 分子式: | C20H32O6 |
| 分子量: | 368.47 |
| EINECS 登录号: | |
| 结构式: | ![]() |
| 物理化学性质 | ||||||||
|
| 安全数据 | ||||
|