|
|

【郑州春秋化工有限公司】公司坐落在交通经济发达的郑州市高新技术开发区,本公司是一家以健康,绿色,环保产业为主导的公司,公司本着合作共赢、互惠互利的经营理念,让客户获得优质产品的同时成本最低化...更多
郑州春秋化工有限公司
经理:13526669916 李经理
电话:0371-66687686
邮编:450000
邮箱:9866839@qq.com
网址:www.cmxx.com
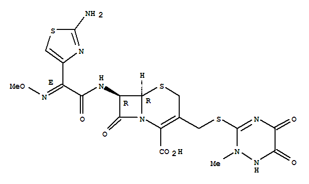
| 中文名称: | (E)-头孢曲松 |
| 中文别名: | |
| 英文名称: | (E)-ceftriaxone |
| 英文别名: | 5-Thia-1-azabicyclo[4.2.0]oct-2-ene-2-carboxylicacid,7-[[(2-amino-4-thiazolyl)(methoxyimino)acetyl]amino]-8-oxo-3-[[(1,2,5,6-tetrahydro-2-methyl-5,6-dioxo-1,2,4-triazin-3-yl)thio]methyl]-,[6R-[6a,7b(E)]]-; Ro 15-2254 |
| CAS号: | 92143-31-2 |
| 分子式: | C18H18N8O7S3 |
| 分子量: | |
| EINECS 登录号: | |
| 结构式: | ![]() |