|
|

【郑州春秋化工有限公司】公司坐落在交通经济发达的郑州市高新技术开发区,本公司是一家以健康,绿色,环保产业为主导的公司,公司本着合作共赢、互惠互利的经营理念,让客户获得优质产品的同时成本最低化...更多
郑州春秋化工有限公司
经理:13526669916 李经理
电话:0371-66687686
邮编:450000
邮箱:9866839@qq.com
网址:www.cmxx.com
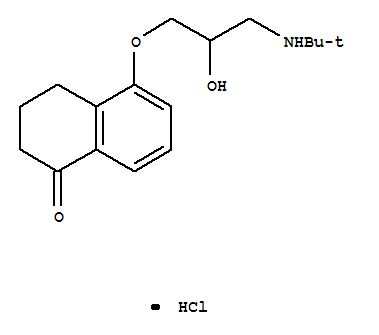
| 中文名称: | 5-[3-(叔丁基氨基)-2-羟基丙氧基]-3,4-二氢-2H-萘-1-酮盐酸盐 |
| 中文别名: | |
| 英文名称: | 5-[3-(Tert-butylamino)-2-hydroxypropoxy]-3,4-dihydro-2h-naphthalen-1-one hydrochloride |
| 英文别名: | 1(2H)-Naphthalenone,5-[3-(tert-butylamino)-2-hydroxypropoxy]-3,4-dihydro-, hydrochloride, (?脿)- (8CI); 1(2H)-Naphthalenone,5-[3-[(1,1-dimethylethyl)amino]-2-hydroxypropoxy]-3,4-dihydro-, hydrochloride(9CI); 1(2H)-Naphthalenone,5-[3-[(1,1-dimethylethyl)amino]-2-hydroxypropoxy]-3,4-dihydro-, hydrochloride,(?脿)-; (?脿)-Bunolol hydrochloride; Bunolol hydrochloride; W6412A; dl-Bunolol hydrochloride |
| CAS号: | 31969-05-8 |
| 分子式: | C17H26ClNO3 |
| 分子量: | 327.85 |
| EINECS 登录号: | |
| 结构式: | ![]() |
| 物理化学性质 | ||||||
|