|
|

【郑州春秋化工有限公司】公司坐落在交通经济发达的郑州市高新技术开发区,本公司是一家以健康,绿色,环保产业为主导的公司,公司本着合作共赢、互惠互利的经营理念,让客户获得优质产品的同时成本最低化...更多
郑州春秋化工有限公司
经理:13526669916 李经理
电话:0371-66687686
邮编:450000
邮箱:9866839@qq.com
网址:www.cmxx.com
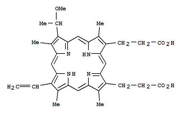
| 中文名称: | 12-乙烯基-7-(1-甲氧基乙基)-3,8,13,17-四甲基-21H,23H-卟吩-2,18-二丙酸 |
| 中文别名: | |
| 英文名称: | 12-Ethenyl-7-(1-methoxyethyl)-3,8,13,17-tetramethyl-21h,23h-porphine-2,18-dipropanoic acid |
| 英文别名: | 21H,23H-Porphine-2,18-dipropanoic acid, 12-ethenyl-7-(1-methoxyethyl)-3,8,13,17-tetramethyl- |
| CAS号: | 327050-60-2 |
| 分子式: | C35H38N4O5 |
| 分子量: | |
| EINECS 登录号: | |
| 结构式: | ![]() |