|
|

【郑州春秋化工有限公司】公司坐落在交通经济发达的郑州市高新技术开发区,本公司是一家以健康,绿色,环保产业为主导的公司,公司本着合作共赢、互惠互利的经营理念,让客户获得优质产品的同时成本最低化...更多
郑州春秋化工有限公司
经理:13526669916 李经理
电话:0371-66687686
邮编:450000
邮箱:9866839@qq.com
网址:www.cmxx.com
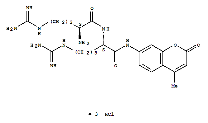
| 中文名称: | L-精氨酰-N-(4-甲基-2-氧代-2H-1-苯并吡喃-7-基)-L-精氨酰胺三盐酸盐 |
| 中文别名: | |
| 英文名称: | L-arginyl-n-(4-methyl-2-oxo-2h-1-benzopyran-7-yl)-l-argininamide trihydrochloride |
| 英文别名: | L-ARG-ARG-7-AMIDO-4-METHYLCOUMARIN 3HCL;L-ARGINYL-L-ARGININE 7-AMIDO-4-METHYLCOUMARIN TRIHYDROCHLORIDE;H-ARG-ARG-AMC 3 HCL;H-ARG-ARG-AMC 3 HCI;L-Arg-Arg-7-amido-4-methylcoumarin trihydrochloride;H-L-Arg-L-Arg-AMC*3HCl |
| CAS号: | 201847-69-0 |
| 分子式: | C22H36Cl3N9O4 |
| 分子量: | 596.94 |
| EINECS 登录号: | |
| 结构式: | ![]() |