|
|

【郑州春秋化工有限公司】公司坐落在交通经济发达的郑州市高新技术开发区,本公司是一家以健康,绿色,环保产业为主导的公司,公司本着合作共赢、互惠互利的经营理念,让客户获得优质产品的同时成本最低化...更多
郑州春秋化工有限公司
经理:13526669916 李经理
电话:0371-66687686
邮编:450000
邮箱:9866839@qq.com
网址:www.cmxx.com
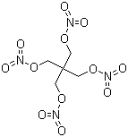
| 中文名称: | 季戊四醇四硝酸酯 |
| 中文别名: | |
| 英文名称: | Pentaerythritol tetranitrate |
| 英文别名: | 1,3-Propanediol,2,2-bis[(nitrooxy)methyl]-, dinitrate (ester) (9CI);Pentaerythritol,tetranitrate (6CI,8CI);2,2-Bis(hydroxymethyl)-1,3-propanediol tetranitrate;Angicap;Angitet;Antora;Arcotrate;Baritrate;C 2 (explosive);CHot;Cardiacap;Deltrate 20;Dilcoran 80;Dipentrate;Duotrate;Erinit;Extex;Hasethrol;Kaytrate;LX 02-1;LX 08-0;LX 13;LX 16;LX 16 (explosive);Lentrat;Martrate 45;Mycardol;Neo-Corovas;Niperyt;Nitrin;Nitrine;Nitrolong;Nitropent;Nitropenta 7W;Nitropentaerythritol;Nitrotalans;PETN;Pencard;Pentaerithrityl tetranitrate;Pentafilin;Pentanitrine; |
| CAS号: | 78-11-5 |
| 分子式: | C5H8N4O12 |
| 分子量: | 316.14 |
| EINECS 登录号: | 201-084-3 |
| 结构式: | ![]() |
| 物理化学性质 | ||||||
|
| 安全数据 | ||||
|