|
|

【郑州春秋化工有限公司】公司坐落在交通经济发达的郑州市高新技术开发区,本公司是一家以健康,绿色,环保产业为主导的公司,公司本着合作共赢、互惠互利的经营理念,让客户获得优质产品的同时成本最低化...更多
郑州春秋化工有限公司
经理:13526669916 李经理
电话:0371-66687686
邮编:450000
邮箱:9866839@qq.com
网址:www.cmxx.com
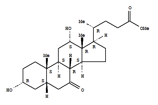
| 中文名称: | (3ALPHA,5BETA,12ALPHA)-3,12-二羟基-7-酮基胆烷-24-酸甲酯 |
| 中文别名: | |
| 英文名称: | (3Alpha,5beta,12alpha)-3,12-dihydroxy-7-oxocholan-24-oic acid methyl ester |
| 英文别名: | 5b-Cholan-24-oic acid, 3a,12a-dihydroxy-7-oxo-, methyl ester (8CI); 5b-Cholanic acid, 3a,12a-dihydroxy-7-oxo-, methyl ester (7CI); Methyl7-ketocholate; Methyl-7-keto-3a,12a-dihydroxy-5b-cholanoate |
| CAS号: | 10538-65-5 |
| 分子式: | C25H40O5 |
| 分子量: | 420.5821 |
| EINECS 登录号: | |
| 结构式: | ![]() |