|
|

【郑州春秋化工有限公司】公司坐落在交通经济发达的郑州市高新技术开发区,本公司是一家以健康,绿色,环保产业为主导的公司,公司本着合作共赢、互惠互利的经营理念,让客户获得优质产品的同时成本最低化...更多
郑州春秋化工有限公司
经理:13526669916 李经理
电话:0371-66687686
邮编:450000
邮箱:9866839@qq.com
网址:www.cmxx.com
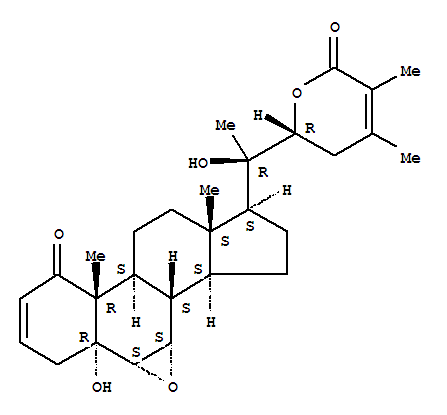
| 中文名称: | 睡茄素A |
| 中文别名: | |
| 英文名称: | Withanolide a(p) |
| 英文别名: | 5a-Ergosta-2,24-dien-26-oic acid, 6a,7a-epoxy-5,20,22-trihydroxy-1-oxo-, d-lactone, (22R)- (8CI);6,7-Epoxy-1H-cyclopenta[a]phenanthrene, ergosta-2,24-dien-26-oic acid deriv.;5,20a-Dihydroxy-6a,7a-epoxy-1-oxowitha-2,24-dienolide; 5a,20aF(R)-Dihydroxy-6a,7a-epoxy-1-oxowitha-2,24-dienolide; Withaniol; Withanolide A |
| CAS号: | 32911-62-9 |
| 分子式: | C28H38O6 |
| 分子量: | 470.602 |
| EINECS 登录号: | |
| 结构式: | ![]() |