|
|

【郑州春秋化工有限公司】公司坐落在交通经济发达的郑州市高新技术开发区,本公司是一家以健康,绿色,环保产业为主导的公司,公司本着合作共赢、互惠互利的经营理念,让客户获得优质产品的同时成本最低化...更多
郑州春秋化工有限公司
经理:13526669916 李经理
电话:0371-66687686
邮编:450000
邮箱:9866839@qq.com
网址:www.cmxx.com
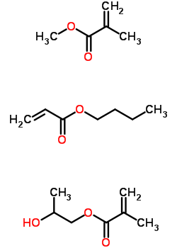
| 中文名称: | 2-甲基-2-丙烯酸甲酯与 2-丙烯酸丁酯和 1,2-丙二醇单(2-甲基-2-丙烯酸酯)聚合物 |
| 中文别名: | |
| 英文名称: | 2-Methyl-2-propenoic acid methyl ester polymer with butyl 2-propenoate and 1,2-propanediol mono(2-methyl-2-propenoate) |
| 英文别名: | 2-Propenoic acid, 2-methyl-, methyl ester, polymer with butyl 2-propenoate and 1,2-propanediol mono(2-methyl-2-propenoate) |
| CAS号: | 57876-47-8 |
| 分子式: | C19H32O7 |
| 分子量: | 372.46 |
| EINECS 登录号: | |
| 结构式: | ![]() |
| 物理化学性质 | ||||||
|