|
|

【郑州春秋化工有限公司】公司坐落在交通经济发达的郑州市高新技术开发区,本公司是一家以健康,绿色,环保产业为主导的公司,公司本着合作共赢、互惠互利的经营理念,让客户获得优质产品的同时成本最低化...更多
郑州春秋化工有限公司
经理:13526669916 李经理
电话:0371-66687686
邮编:450000
邮箱:9866839@qq.com
网址:www.cmxx.com
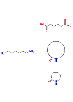
| 中文名称: | 己二酸与 1,6-己烷二胺与氮杂环十三烷-2-酮和六氢-2H-氮杂卓-2-酮聚合物的化合物 |
| 中文别名: | |
| 英文名称: | Hexanedioic acid, compd. with 1,6-hexanediamine, polymer with azacyclotridecan-2-one and hexahydro-2h-azepin-2-one |
| 英文别名: | Hexanedioic acid, compd. with 1,6-hexanediamine , polymer with azacyclotridecan-2-one and hexahydro-2H-azepin-2-one;hexanedioic acid, compd. with 1,6-hexanediamine ,polymer with azacyclotridecan-2-one and hexahydro-2h-azepin-2-one;Hexanedioic acid,compd. with 1,6-hexanediamine,polymer with azacyclotridecan-2-one and hexahydro-2H-azepin-2-one;Hexanedioic acid, compd. with 1,6-hexanediamine (1:1), polymer with azacyclotridecan-2-one and hexahydro-2H-azepin-2-one |
| CAS号: | 51365-12-9 |
| 分子式: | C30H60N4O6 |
| 分子量: | 572.83 |
| EINECS 登录号: | |
| 结构式: | ![]() |
| 物理化学性质 | ||||||
|