|
|

【郑州春秋化工有限公司】公司坐落在交通经济发达的郑州市高新技术开发区,本公司是一家以健康,绿色,环保产业为主导的公司,公司本着合作共赢、互惠互利的经营理念,让客户获得优质产品的同时成本最低化...更多
郑州春秋化工有限公司
经理:13526669916 李经理
电话:0371-66687686
邮编:450000
邮箱:9866839@qq.com
网址:www.cmxx.com
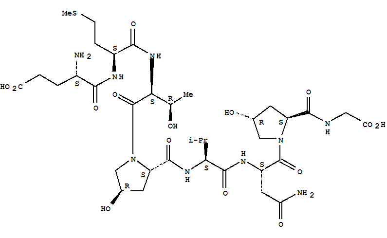
| 中文名称: | L-alpha-谷氨酰-L-蛋氨酰-L-苏氨酰-(4R)-4-羟基-L-脯氨酰-L-缬氨酰-L-天冬氨酰胺酰-(4R)-4-羟基-L-脯氨酰-甘氨酸 |
| 中文别名: | |
| 英文名称: | L-alpha-glutamyl-l-methionyl-l-threonyl-(4r)-4-hydroxy-l-prolyl-l-valyl-l-asparaginyl-(4r)-4-hydroxy-l-prolyl-glycine |
| 英文别名: | 13:PN: WO03044041 SEQID: 4 claimed protein; 4: PN: US20030170752 SEQID: 4 claimedprotein |
| CAS号: | 393827-71-9 |
| 分子式: | C35H57N9O15S |
| 分子量: | 875.94 |
| EINECS 登录号: | |
| 结构式: | ![]() |