|
|

【郑州春秋化工有限公司】公司坐落在交通经济发达的郑州市高新技术开发区,本公司是一家以健康,绿色,环保产业为主导的公司,公司本着合作共赢、互惠互利的经营理念,让客户获得优质产品的同时成本最低化...更多
郑州春秋化工有限公司
经理:13526669916 李经理
电话:0371-66687686
邮编:450000
邮箱:9866839@qq.com
网址:www.cmxx.com
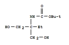
| 中文名称: | 2-甲基-2-丙基[1-羟基-2-(羟基甲基)-2-丁烷基]氨基甲酸酯 |
| 中文别名: | |
| 英文名称: | 2-Methyl-2-propanyl [1-hydroxy-2-(hydroxymethyl)-2-butanyl]carbamate |
| 英文别名: | Carbamicacid, [1,1-bis(hydroxymethyl)propyl]-, 1,1-dimethylethyl ester (9CI); [1,1-Bis(hydroxymethyl)propyl]carbamicacid tert-butyl ester; [1-Ethyl-2-hydroxy-1-(hydroxymethyl)ethyl]carbamic acidtert-butyl ester |
| CAS号: | 391678-52-7 |
| 分子式: | C10H21NO4 |
| 分子量: | 219.28 |
| EINECS 登录号: | |
| 结构式: | ![]() |