|
|

【郑州春秋化工有限公司】公司坐落在交通经济发达的郑州市高新技术开发区,本公司是一家以健康,绿色,环保产业为主导的公司,公司本着合作共赢、互惠互利的经营理念,让客户获得优质产品的同时成本最低化...更多
郑州春秋化工有限公司
经理:13526669916 李经理
电话:0371-66687686
邮编:450000
邮箱:9866839@qq.com
网址:www.cmxx.com
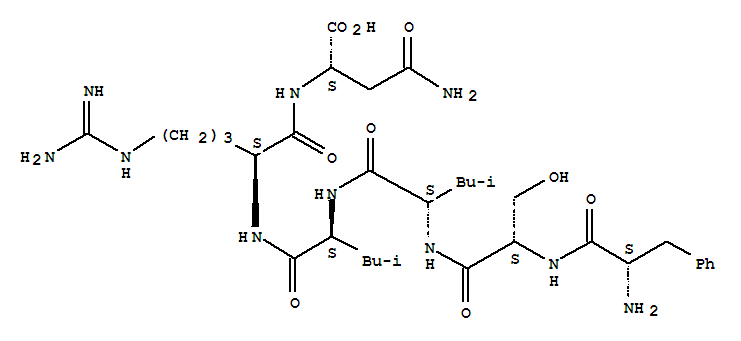
| 中文名称: | L-苯丙氨酰-L-丝氨酰-L-亮氨酰-L-亮氨酰-L-精氨酰-L-天冬氨酰胺 |
| 中文别名: | |
| 英文名称: | L-phenylalanyl-l-seryl-l-leucyl-l-leucyl-l-arginyl-l-asparagine |
| 英文别名: | (PHE1,SER2)-COAGULATION FACTOR II RECEPTOR (1-6) (HUMAN);(PHE1,SER2)-PAR-1 (1-6) (HUMAN);(PHE1,SER2)-PROTEINASE ACTIVATED RECEPTOR 1 (1-6) (HUMAN);(PHE1,SER2)-THROMBIN RECEPTOR 1 (1-6) (HUMAN);(PHE1,SER2)-THROMBIN RECEPTOR ACTIVATOR PEPTIDE 6;(PHE1,SER2)-TRAP-6;H-PHE-SER-LEU-LEU-ARG-ASN-OH;FSLLRN |
| CAS号: | 374898-11-0 |
| 分子式: | C34H56N10O9 |
| 分子量: | 748.87 |
| EINECS 登录号: | |
| 结构式: | ![]() |