|
|

【郑州春秋化工有限公司】公司坐落在交通经济发达的郑州市高新技术开发区,本公司是一家以健康,绿色,环保产业为主导的公司,公司本着合作共赢、互惠互利的经营理念,让客户获得优质产品的同时成本最低化...更多
郑州春秋化工有限公司
经理:13526669916 李经理
电话:0371-66687686
邮编:450000
邮箱:9866839@qq.com
网址:www.cmxx.com
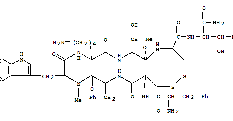
| 中文名称: | (D-苯丙氨酰5,半胱氨酰6,11,N-甲基-D-色氨酰8)-生长抑素-14(5-12)酰胺 |
| 中文别名: | |
| 英文名称: | (D-phe5,cys6,11,n-me-d-trp8)-somatostatin-14 (5-12) amide |
| 英文别名: | (D-PHE5,CYS6,11,N-ME-D-TRP8)-SOMATOSTATIN-14 (5-12) AMIDE;H-D-PHE-CYS-PHE-N-ME-D-TRP-LYS-THR-CYS-THR-NH2;H-D-Phe-Cys-Phe-N-Me-D-Trp-Lys-Thr-Cys-Thr-NH2 , (Disulfide bond) |
| CAS号: | 340821-13-8 |
| 分子式: | C50H67N11O10S2 |
| 分子量: | 1046.26 |
| EINECS 登录号: | |
| 结构式: | ![]() |