|
|

【郑州春秋化工有限公司】公司坐落在交通经济发达的郑州市高新技术开发区,本公司是一家以健康,绿色,环保产业为主导的公司,公司本着合作共赢、互惠互利的经营理念,让客户获得优质产品的同时成本最低化...更多
郑州春秋化工有限公司
经理:13526669916 李经理
电话:0371-66687686
邮编:450000
邮箱:9866839@qq.com
网址:www.cmxx.com
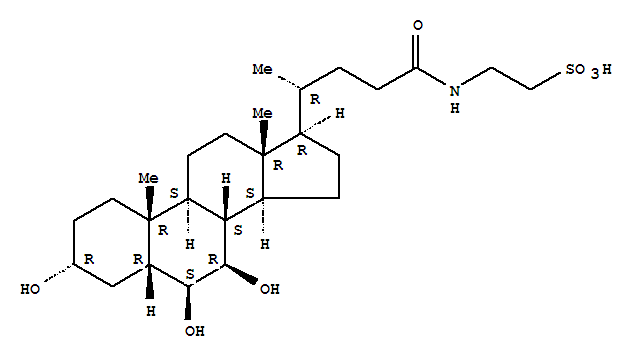
| 中文名称: | 2-[[(4R)-4-[(3R,5R,6S,7R,10R,13R,17R)-3,6,7-三羟基-10,13-二甲基-2,3,4,5,6,7,8,9,11,12,14,15,16,17-十四氢-1H-环戊二烯并[a]菲-17-基]戊酰]氨基]乙烷磺酸 |
| 中文别名: | |
| 英文名称: | 2-[[(4R)-4-[(3r,5r,6s,7r,10r,13r,17r)-3,6,7-trihydroxy-10,13-dimethyl-2,3,4,5,6,7,8,9,11,12,14,15,16,17-tetradecahydro-1h-cyclopenta[a]phenanthren-17-yl]pentanoyl]amino]ethanesulfonic acid |
| 英文别名: | Taurine,N-(3a,6b,7b-trihydroxy-5b-cholan-24-oyl)- (8CI); Cholane, ethanesulfonic acid deriv.; Tauro-b-muricholate; Tauro-b-muricholic acid |
| CAS号: | 25696-60-0 |
| 分子式: | C26H45NO7S |
| 分子量: | 515.70 |
| EINECS 登录号: | |
| 结构式: | ![]() |
| 物理化学性质 | ||||||
|