|
|

【郑州春秋化工有限公司】公司坐落在交通经济发达的郑州市高新技术开发区,本公司是一家以健康,绿色,环保产业为主导的公司,公司本着合作共赢、互惠互利的经营理念,让客户获得优质产品的同时成本最低化...更多
郑州春秋化工有限公司
经理:13526669916 李经理
电话:0371-66687686
邮编:450000
邮箱:9866839@qq.com
网址:www.cmxx.com
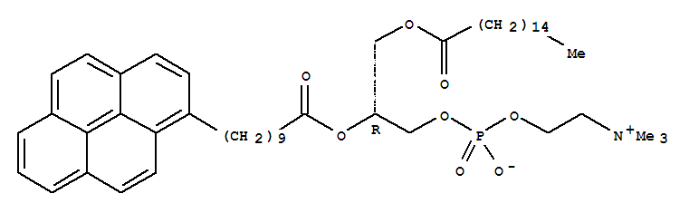
| 中文名称: | beta-(芘-1-基)癸酰基-gamma-棕榈酰基-L-alpha-磷脂酰胆碱 |
| 中文别名: | |
| 英文名称: | beta-(Pyren-1-Yl)Decanoyl-gamma-Palmitoyl-L-alpha-Phosphatidylcholine |
| 英文别名: | 3,5,9-Trioxa-4-phosphapentacosan-1-aminium,4-hydroxy-N,N,N-trimethyl-10-oxo-7-[[1-oxo-10-(1-pyrenyl)decyl]oxy]-, innersalt, 4-oxide, (R)-;1-Hexadecanoyl-2-(1-pyrenedecanoyl)-sn-glycero-3-phosphocholine;1-Hexadecanoyl-2-(1-pyrenedecanoyl)-sn-glycero-3-phosphocholine; 1-Palmitoyl-2-pyrenedecanoylphosphatidylcholine;3-Palmitoyl-2-(1-pyrenodecanoyl)-L-a-phosphatidylcholine |
| CAS号: | 95864-17-8 |
| 分子式: | C50H76NO8P |
| 分子量: | 850.13 |
| EINECS 登录号: | |
| 结构式: | ![]() |
| 物理化学性质 | ||||||
|
| 安全数据 | ||
|