|
|

【郑州春秋化工有限公司】公司坐落在交通经济发达的郑州市高新技术开发区,本公司是一家以健康,绿色,环保产业为主导的公司,公司本着合作共赢、互惠互利的经营理念,让客户获得优质产品的同时成本最低化...更多
郑州春秋化工有限公司
经理:13526669916 李经理
电话:0371-66687686
邮编:450000
邮箱:9866839@qq.com
网址:www.cmxx.com
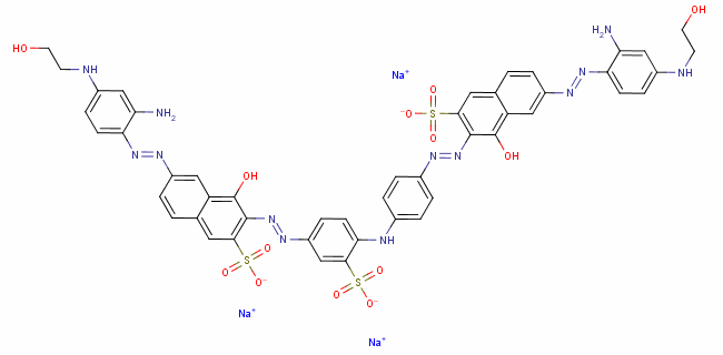
| 中文名称: | 6-[[2-氨基-4-[(2-羟基乙基)氨基]苯基]偶氮]-3-[[4-[[4-[[7-[[2-氨基-4-[(2-羟基乙基)氨基]苯基]偶氮]-1-羟基-3-磺基-2-萘基]偶氮]苯基]氨基]-3-磺基苯基]偶氮]-4-羟基-2-萘磺酸三钠盐 |
| 中文别名: | |
| 英文名称: | 6-[[2-Amino-4-[(2-hydroxyethyl)amino]phenyl]azo]-3-[[4-[[4-[[7-[[2-amino-4-[(2-hydroxyethyl)amino]phenyl]azo]-1-hydroxy-3-sulfo-2-naphthalenyl]azo]phenyl]amino]-3-sulfophenyl]azo]-4-hydroxy-2-naphthal |
| 英文别名: | 2-Naphthalenesulfonicacid, 6-[[2-amino-4-[(2-hydroxyethyl)amino]phenyl]azo]-3-[[4-[[4-[[7-[[2-amino-4-[(2-hydroxyethyl)amino]phenyl]azo]-1-hydroxy-3-sulfo-2-naphthalenyl]azo]phenyl]amino]-3-sulfophenyl]azo]-4-hydroxy-,trisodium salt (9CI);C.I. Direct Black 32, trisodium salt (8CI);BenzonerolABS;C.I. 35440;C.I. Direct Black 32;Cotoneral ABS;Cotonerol AB;DialuminousBlack AB;Diazol Fast Black JRA;Direct Artificial Silk Black BO;Direct Black2S;Direct Black 32;Direct Black AB;Direct Black Z for Leather;Direct FastBlack AB;Direct Fast Black CAB;Kayarus Black ARX;Orbamin Black A Conc.;SumilightBlack AB; |
| CAS号: | 6428-38-2 |
| 分子式: | C48H40N13Na3O13S3 |
| 分子量: | 1172.07 |
| EINECS 登录号: | 229-209-7 |
| 结构式: | ![]() |
| 安全数据 | ||
|