|
|

【郑州春秋化工有限公司】公司坐落在交通经济发达的郑州市高新技术开发区,本公司是一家以健康,绿色,环保产业为主导的公司,公司本着合作共赢、互惠互利的经营理念,让客户获得优质产品的同时成本最低化...更多
郑州春秋化工有限公司
经理:13526669916 李经理
电话:0371-66687686
邮编:450000
邮箱:9866839@qq.com
网址:www.cmxx.com
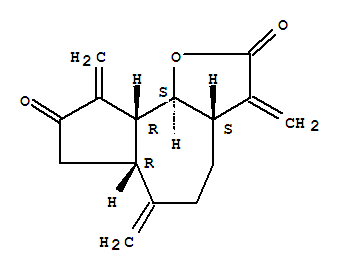
| 中文名称: | 去氢木香内酯 |
| 中文别名: | |
| 英文名称: | Dehydrocostuslactone |
| 英文别名: | 1b-Guaia-4(15),10(14),11(13)-trien-12-oicacid, 6a-hydroxy-3-oxo-, g-lactone (8CI);Azuleno[4,5-b]furan-2,8(3H,4H)-dione, octahydro-3,6,9-tris(methylene)-,[3aS-(3aa,6aa,9aa,9bb)]-; 3-Oxodehydrocostuslactone;Dehydrozaluzanin C; Zaluzanin C, dehydro- |
| CAS号: | 16836-47-8 |
| 分子式: | C15H18O2 |
| 分子量: | 230.3 |
| EINECS 登录号: | |
| 结构式: | ![]() |