|
|

【郑州春秋化工有限公司】公司坐落在交通经济发达的郑州市高新技术开发区,本公司是一家以健康,绿色,环保产业为主导的公司,公司本着合作共赢、互惠互利的经营理念,让客户获得优质产品的同时成本最低化...更多
郑州春秋化工有限公司
经理:13526669916 李经理
电话:0371-66687686
邮编:450000
邮箱:9866839@qq.com
网址:www.cmxx.com
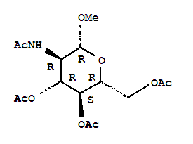
| 中文名称: | 甲基 2-乙酰氨基-3,4,6-O-三乙酰基-2-脱氧-BETA-D-吡喃葡萄糖苷 |
| 中文别名: | |
| 英文名称: | Methyl-2-acetamido-2-deoxy-ss-d-glucopyranoside |
| 英文别名: | Glucopyranoside,methyl 2-acetamido-2-deoxy-, 3,4,6-triacetate, b-D- (7CI,8CI);b-D-Glucopyranoside, methyl 2-acetamido-2-deoxy-,triacetate (6CI);Methyl 2-acetamido-2-deoxy-3,4,6-tri-O-acetyl-b-D-glucopyranoside; |
| CAS号: | 2771-48-4 |
| 分子式: | C9H17NO6 |
| 分子量: | 235.234 |
| EINECS 登录号: | |
| 结构式: | ![]() |
| 物理化学性质 | ||||||
|