|
|

【郑州春秋化工有限公司】公司坐落在交通经济发达的郑州市高新技术开发区,本公司是一家以健康,绿色,环保产业为主导的公司,公司本着合作共赢、互惠互利的经营理念,让客户获得优质产品的同时成本最低化...更多
郑州春秋化工有限公司
经理:13526669916 李经理
电话:0371-66687686
邮编:450000
邮箱:9866839@qq.com
网址:www.cmxx.com
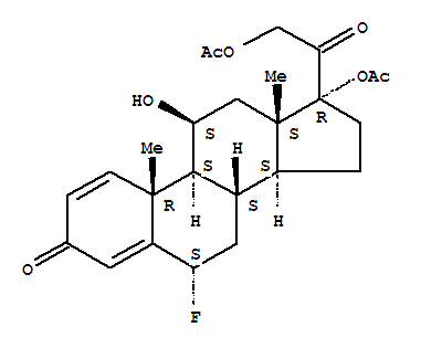
| 中文名称: | 9Α-氟孕甾-1,4-二烯-11Β,17Α,21-三醇-3,20-二酮-17,21-二醋酸酯 |
| 中文别名: | |
| 英文名称: | 9-Fluoropregna-1,4-diene-11,17,21-triol-3,20-dione17,21-diacetate |
| 英文别名: | 17,21-Diacetyloxy-9-fluoro-11-hydroxypregna-1,4-diene-3,20-dione;9-Fluoro-11,17,21-trihydroxypregna-1,4-diene-3,20-dione17,21-diacetate;9-Fluoropregna-1,4-diene-11,17,21-triol-3,20-dione17,21-diacetate |
| CAS号: | 64088-99-9 |
| 分子式: | C25H31FO7 |
| 分子量: | |
| EINECS 登录号: | |
| 结构式: | ![]() |