|
|

【郑州春秋化工有限公司】公司坐落在交通经济发达的郑州市高新技术开发区,本公司是一家以健康,绿色,环保产业为主导的公司,公司本着合作共赢、互惠互利的经营理念,让客户获得优质产品的同时成本最低化...更多
郑州春秋化工有限公司
经理:13526669916 李经理
电话:0371-66687686
邮编:450000
邮箱:9866839@qq.com
网址:www.cmxx.com
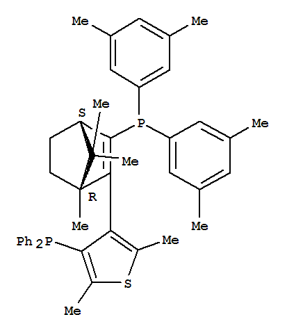
| 中文名称: | (1R,4S)-3-[双(3,5-二甲苯基)膦]-2-(4-二苯基膦-2,5-二甲基-3-噻吩基)-1,7,7-三甲基二环[2.2.1]庚-2-烯 |
| 中文别名: | |
| 英文名称: | Catasium(r) t2(r), 3-{(1r,4s)-3-[bis(3,5-dimethylphenyl)phosphanyl]-1,7,7-trimethylbicyclo[2.2.1]hept-2-en-2-yl}-4-diphenylphosphanyl-2,5-dimethylthiophene |
| 英文别名: | (R)-CatASiumT2; catASium T 2 |
| CAS号: | 868851-48-3 |
| 分子式: | C44H48P2S |
| 分子量: | |
| EINECS 登录号: | |
| 结构式: | ![]() |