|
|

【郑州春秋化工有限公司】公司坐落在交通经济发达的郑州市高新技术开发区,本公司是一家以健康,绿色,环保产业为主导的公司,公司本着合作共赢、互惠互利的经营理念,让客户获得优质产品的同时成本最低化...更多
郑州春秋化工有限公司
经理:13526669916 李经理
电话:0371-66687686
邮编:450000
邮箱:9866839@qq.com
网址:www.cmxx.com
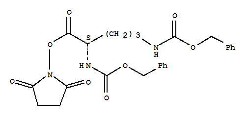
| 中文名称: | 2,5-二氧代-1-吡咯烷基N2,N5-二[(苄氧基)羰基]-L-鸟氨酰i噻吩基n酸酯 |
| 中文别名: | |
| 英文名称: | 2,5-Dioxo-1-pyrrolidinyl n2,n5-bis[(benzyloxy)carbonyl]-l-ornithinate |
| 英文别名: | Z-ORNITHINE(Z)-OSU;Z-ORN(Z)-OSU;N-ALPHA,N-DELTA-BIS-Z-L-ORNITHINE N-HYDROXYSUCCINIMIDE ESTER |
| CAS号: | 90970-61-9 |
| 分子式: | C25H27N3O8 |
| 分子量: | 497.50 |
| EINECS 登录号: | |
| 结构式: | ![]() |