|
|

【郑州春秋化工有限公司】公司坐落在交通经济发达的郑州市高新技术开发区,本公司是一家以健康,绿色,环保产业为主导的公司,公司本着合作共赢、互惠互利的经营理念,让客户获得优质产品的同时成本最低化...更多
郑州春秋化工有限公司
经理:13526669916 李经理
电话:0371-66687686
邮编:450000
邮箱:9866839@qq.com
网址:www.cmxx.com
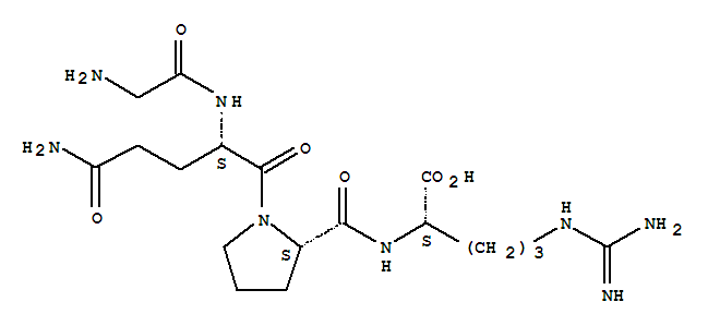
| 中文名称: | 甘氨酰-L-谷氨酰胺酰-L-脯氨酰-L-精氨酸 |
| 中文别名: | |
| 英文名称: | Glycyl-l-glutaminyl-l-prolyl-l-arginine |
| 英文别名: | L-Arginine,N2-[1-(N2-glycyl-L-glutaminyl)-L-prolyl]-; 123: PN: US20030119021 SEQID: 120unclaimed sequence; 1267: PN: US20090175821 SEQID: 1553 claimed protein; 20:PN: WO2007076032 TABLE: 59 unclaimed sequence; 249: PN: WO0069900 SEQID: 1553unclaimed sequence; 2: PN: US20040120918 SEQID: 3 unclaimed sequence; Rigin |
| CAS号: | 77727-17-4 |
| 分子式: | C18H32N8O6 |
| 分子量: | 456.50 |
| EINECS 登录号: | |
| 结构式: | ![]() |