|
|

【郑州春秋化工有限公司】公司坐落在交通经济发达的郑州市高新技术开发区,本公司是一家以健康,绿色,环保产业为主导的公司,公司本着合作共赢、互惠互利的经营理念,让客户获得优质产品的同时成本最低化...更多
郑州春秋化工有限公司
经理:13526669916 李经理
电话:0371-66687686
邮编:450000
邮箱:9866839@qq.com
网址:www.cmxx.com
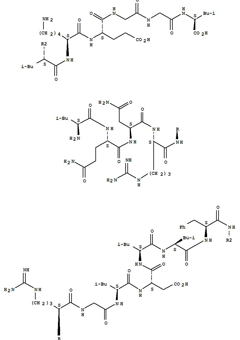
| 中文名称: | Cks-17 肽 |
| 中文别名: | |
| 英文名称: | Cks-17 peptide |
| 英文别名: | 1067:PN: US20090175821 SEQID: 1339 claimed protein; 1: PN: WO2009033786 PAGE: 98claimed protein; 38: PN: WO0069900 SEQID: 1339 unclaimed sequence; 65: PN:US20030119021 SEQID: 40 unclaimed sequence; 6: PN: US20070185025 SEQID: 6claimed sequence; 7: PN: WO2005026337 SEQID: 1 claimed sequence; CKS 17 |
| CAS号: | 99273-04-8 |
| 分子式: | C87H148N26O24 |
| 分子量: | 1942.29 |
| EINECS 登录号: | |
| 结构式: | ![]() |