|
|

【郑州春秋化工有限公司】公司坐落在交通经济发达的郑州市高新技术开发区,本公司是一家以健康,绿色,环保产业为主导的公司,公司本着合作共赢、互惠互利的经营理念,让客户获得优质产品的同时成本最低化...更多
郑州春秋化工有限公司
经理:13526669916 李经理
电话:0371-66687686
邮编:450000
邮箱:9866839@qq.com
网址:www.cmxx.com
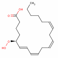
| 中文名称: | 5-氢过氧基-6-反式-8,11,14-顺式-二十四碳烯酸 |
| 中文别名: | |
| 英文名称: | 5-Hydroperoxy-6-trans-8,11,14-cis-eicosatetraenoic acid |
| 英文别名: | 6,8,11,14-Eicosatetraenoicacid, 5-hydroperoxy-, [S-(E,Z,Z,Z)]-; 5(S)-HPETE; 5(S)-Hydroperoxy-6-trans-8,11,14-cis-eicosatetraenoicacid; 5(S)-Hydroperoxy-6trans,8cis,11cis,14cis-eicosatetraenoic acid;5(S)-Hydroperoxyeicosa-6E,8Z,11Z,14Z-tetraenoic acid;5(S)-Hydroperoxyeicosatetraenoic acid;5(S)-Hydroxyperoxy-6-trans-8,11,14-cis-eicosatetraenoic acid |
| CAS号: | 71774-08-8 |
| 分子式: | C20H32O4 |
| 分子量: | 336.47 |
| EINECS 登录号: | |
| 结构式: | ![]() |
| 物理化学性质 | ||||||||
|
| 安全数据 | ||||
|