|
|

【郑州春秋化工有限公司】公司坐落在交通经济发达的郑州市高新技术开发区,本公司是一家以健康,绿色,环保产业为主导的公司,公司本着合作共赢、互惠互利的经营理念,让客户获得优质产品的同时成本最低化...更多
郑州春秋化工有限公司
经理:13526669916 李经理
电话:0371-66687686
邮编:450000
邮箱:9866839@qq.com
网址:www.cmxx.com
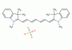
| 中文名称: | 1,1,3,3,3,3-六甲基吲哚三羰花青高氯酸盐 |
| 中文别名: | |
| 英文名称: | 1,1’,3,3,3’,3’,-Hexamethylindotricarbocyanine perchlorate |
| 英文别名: | 1,3,3-trimethyl-2-[(1E,3E,5E,7E)-7-(1,3,3-trimethylindol-2-ylidene)hepta-1,3,5-trienyl]indole perchlorate;3H-Indolium, 2-(7-(1,3-dihydro-1,3,3-trimethyl-2H-indol-2-ylidene)-1,3,5-heptatrienyl)-1,3,3-trimethyl-, perchlorate;1,1,3,3,3,3-Hexamethylindotricarbocyanine;1,3,3-Trimethyl-2-(7-(1,3,3-trimethylindol-2-ylidene)-1,3,5-heptatrienyl)indolium perchlorate;2-(7-(1,3-Dihydro-1,3,3-trimethyl-2H-indol-2-ylidene)hepta-1,3,5-trienyl)-1,3,3-trimethyl-3H-indolium perchlorate;NK 2421;1,3,3-Trimethyl-2-[7-(1,3,3-trimethyl-1,3-dihydro-2H-indol-2-ylidene)-1,3,5-heptatrienyl]-3H-indolium perchlorate; |
| CAS号: | 16595-48-5 |
| 分子式: | C29H33ClN2O4 |
| 分子量: | 509.04 |
| EINECS 登录号: | 240-652-5 |
| 结构式: | ![]() |
| 物理化学性质 | ||
|
| 安全数据 | ||||
|