|
|

【郑州春秋化工有限公司】公司坐落在交通经济发达的郑州市高新技术开发区,本公司是一家以健康,绿色,环保产业为主导的公司,公司本着合作共赢、互惠互利的经营理念,让客户获得优质产品的同时成本最低化...更多
郑州春秋化工有限公司
经理:13526669916 李经理
电话:0371-66687686
邮编:450000
邮箱:9866839@qq.com
网址:www.cmxx.com
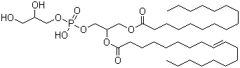
| 中文名称: | 1-棕榈酰基-2-油酰基磷脂酰甘油 POPG |
| 中文别名: | |
| 英文名称: | 1-Palmitoyl-2-oleoyl-phosphatidylglycerol |
| 英文别名: | 9-Octadecenoicacid (Z)-, 1-[[[(2,3-dihydroxypropoxy)hydroxyphosphinyl]oxy]methyl]-2-[(1-oxohexadecyl)oxy]ethylester;1-palmitoyl-2-oleoyl-sn-glycero-3-phosphorylglycerol, sodium salt;l-伪-phosphatidyl-dl-glycerol, 尾-oleoyl-纬-palmitoyl (c18:1,[cis]-9/c16:0) ammonium salt;Palmitoyloleoylphosphatidylglycerol; |
| CAS号: | 81490-05-3 |
| 分子式: | C40H77O10P |
| 分子量: | 749.0071 |
| EINECS 登录号: | |
| 结构式: | ![]() |
| 物理化学性质 | ||||||
|